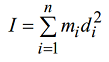
Se numeşte moment de inerţie al unui sistem de puncte
materiale în raport cu un plan, o axă sau un pol, suma
produselor dintre masele particulelor care alcătuiesc sistemul şi pătratul distanţelor acestor particule până la
planul, axa sau polul considerat:

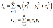
Faţă de un sistem de referinţă cartezian avem:
– moment de inerţie polar:

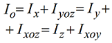
Momentul de inerţie polar poate fi calculat ca:
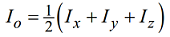
• semisuma momentelor de inerţie axiale în raport cu trei axe rectangulare ce trec prin acel punct:

• suma momentelor de inerţie planare:

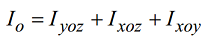
• suma momentelor de inerţie în raport cu un plan
şi o axă normală la acel plan:


– moment de inerţie polar:

• semisuma momentelor de inerţie axiale în raport cu trei axe rectangulare ce trec prin acel punct:



CALCUL MOMENT INERTIE POLAR
Sectiunea 23
Sugestie
Va multumim!