CALCUL MOMENT INERTIE
Sectiunea 2
Momente de inerţie. Raze de inerţie
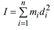
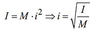
Se numeşte moment de inerţie al unui sistem de puncte materiale în raport cu un plan, o axă sau un pol, suma produselor dintre masele particulelor care alcătuiesc sistemul şi pătratul distanţelor acestor particule până la planul, axa sau polul considerat:

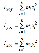
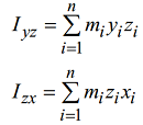
– momente de inerţie planare:





– momentele de inerţie planare, axiale sau polare sunt mărimi pozitive. Ele sunt nule numai atunci când sistemul de puncte materiale este conţinut în planul, pe axa sau în polul la care ne referim;
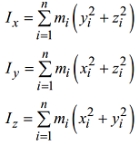
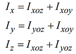
– momentele de inerţie axiale sunt egale cu suma momentelor de inerţie în raport cu două plane rectangulare:

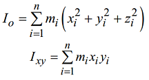
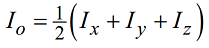
• semisuma momentelor de inerţie axiale în raport cu trei axe rectangulare ce trec prin acel punct:



Sugestie
Va multumim!