CALCUL MOMENT INCOVOIETOR
Sectiunea 17
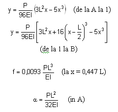
Grinda incastrata la un capat si simplu rezemata la celelalt, incarcata cu o sarcina concentrata la mijloc.

Notatii
P - sarcina concentrata sau suma sarcinilor distribuite (daN)
p - intensitatea incarcarii distribuite (daN/cm)
M0 - momentul exterior (daN cm)
T - forta taietoare aplicata asupra grinzii intr-o sectiune oarecare (daN)
M - momentul incovoietor aplicat asupra grinzii intr-o sectiune oarecare (daN cm)
y - sageata in sectiunea cu absciza x (cm)
f - sageata maxima (f=ymax) (cm)
"alfa" - unghiul fibrei medii deformate (radiani)
E - modulul de elasticitate longitudinal al materialului grinzii (daN/cm2)
Axa orizontala, care trece prin centrul de greutate al sectiunii transversale, este axa principala a sectiunii si momentul de inertie in raport cu aceasta axa se noteaza cu < I > (cm4)
Regula semnelor. Reactiunea, forta taietoare T cu sensul in sus si momentul incovoietor M, care produce o curbura a grinzii cu concavitatea in sus, se considera pozitive.
Ecuatia fibrei medii deformate; Sageata; Unghiurile fibrei

Reactiunile in reazeme si forte taietoare

Moment incovoietor, moment incovoietor maxim

Sugestie
Va multumim!